2025. 7. 1. 04:47ㆍ수능수학/기출풀이

2022년도 시행 7월 모의고사 22번 문항이다
먼저 그래프의 개형을 추론해보자
f(x)위의 (0,0)에서의 접선이 g(x)임을 이용하여
대략적인 경우의 수를 구하면 다음과 같은 4가지 경우의 수가 나온다


1번 경우와 2번 경우는 x > 0 에서 g(x)와 |f(x)| 가 모두 0보다 크기 때문에
h(x)가 0보다 크고, 따라서 12에서 h(x)가 0이 될 수 없다

4번 경우에선 x > 0 에서 f(x) < g(x) 이므로
|f(x)| + g(x) = g(x) - f(x) > 0 이다
따라서 h(x)가 x = 12에서 0이 될 수 없다
남은 경우는 4번 경우이므로
이 케이스를 기준으로 분석해보자

조건 (나)에서 h(x) = 0인 가장 큰 x가 12인데
f(x) 와 g(x)의 교점이 이 점이 된다
교점 이후로는 h(x) = 0 이 되는 점이 존재하지 않기 때문이다

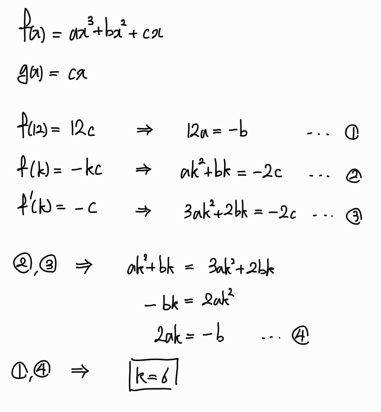
조건 (가)에서 x = k에서 h(x) = 0 이고
접선이 y = 0 이므로 h'(x) = 0 이다
따라서 |f(x)| = |g(x)| 이고
|f(x)|' + g'(x) = 0 이어야 한다
이를 그래프에 표시하면 다음과 같다

x = k 에서 함수값의 절대값이 같고
기울기도 정반대이므로
|g(x)|를 그리면 정확히 접하는 지점임을 확인할 수 있다
여기서 k 값을 찾는 두 가지 방법이 있다
첫번째는 그냥 계산으로 찾는 것이다
다음과 같이 f(x) 식을 세우고 조건들을 이용해 문제를 풀면 k값을 구할 수 있다

또 다른 방법은 인수 나누기를 활용하는것이다
https://spacelab.tistory.com/20
수능 공통 다항함수 미분적분 팁
수능 수학 공통 미분 적분 문제에서자잘하게 사용 가능한 기본적인 팁들을 가져와봤다이 방법들을 사용하지 않는다고 문제를 못 푸는건 아니지만사용했을 때 유의미한 시간 단축이 이루어질
spacelab.tistory.com
위 포스트에 인수나누기에 관한 내용이 설명되어있다
x = 0 인수를 나눠주면 다음과 같이 k 값을 바로 구할 수 있다

이제 마지막 계산을 해보자
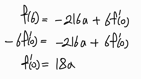
f(x)를 접선과 연결해 식을 작성하면 다음과 같이 작성할 수 있다

여기다 f(6) = -g(6) 조건을 사용하면
다음과 같이 f'(0) 의 값을 a를통해 나타낼 수 있다

이제 f(x)를 다음과 같이 나타낼 수 있다

h(3) 조건을 이용하기 위해 f(3)의 부호를 판정해보자
f(3)을 구해보면 -27a 가 나오는데
a 는 최고차항 계수로 음수이므로 f(3) > 0 이 된다
g(3) = 18a * 3 = 54a 이므로
h(3) = 27a = -9/2 이고
a = -1/6 이 된다
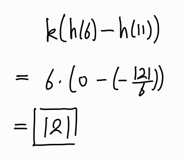
문제에서 구하는 값을 구해보면
h(6) = 0 이고
h(11) = -121/6
k = 6 이므로
구하는 값은 121 이다

답은 121 이다
'수능수학 > 기출풀이' 카테고리의 다른 글
| 260730 - 미적분 (1) | 2025.07.11 |
|---|---|
| 220930 - 고2 (0) | 2025.07.02 |
| 231122 - 공통 (0) | 2025.07.01 |
| 260628 - 미적분 (0) | 2025.06.09 |
| 260621 - 공통 (0) | 2025.06.09 |