2025. 6. 21. 03:48ㆍ수능수학
수능 수학 공통 미분 적분 문제에서
자잘하게 사용 가능한 기본적인 팁들을 가져와봤다
이 방법들을 사용하지 않는다고 문제를 못 푸는건 아니지만
사용했을 때 유의미한 시간 단축이 이루어질 수 있다
1. 다항함수 식 작성하기
함수의 식을 어떻게 작성하느냐에 따라
계산량이 달라지기도 하고
풀이 시간도 월등히 차이나게 된다
일반적으로 식을 작성하는 방법은 아래와 같이 두가지 방법이 있다

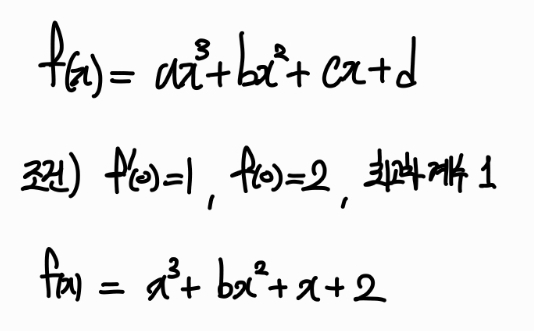
1) 각 차수의 계수를 미지수로 두고 작성하는 방법,
2) 인수를 미지수로 두고 작성하는 방법이다
1번 경우는 일반적으로 각 차수의 계수 조건이 주어졌을때 많이 사용한다
f(0) , f'(0) 값은 각각 상수항, x의 계수 이므로
이 조건이 주어졌을 때 식을 바로 작성할 수 있어 편리하다

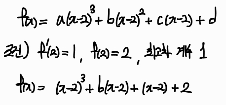
f(0) , f'(0) 뿐만 아니라 f(2), f'(2) 같은 값이 주어져도
위와 같은 방식으로 식 작성이 가능하다
함수를 x축 방향으로 2만큼 평행이동한 식으로 f(x)를 작성하면
f'(2), f(2) 는 각각 c, d 값이 되므로 미지수를 바로 제거할 수 있다

두번째 경우는 보통 그래프와 함께 자주 사용한다

x절편들을 인수로 가지게 식을 작성할 수도 있고,
특정한 y값의 점들을 인수로 가지게 식을 작성할 수도 있다

또 삼차,사차함수의 비율관계를 이용하면
적은 미지수로 식을 간결하게 작성할 수도 있다

특정한 y 값을 기준으로 쓰는 것 뿐만 아니라
일차함수를 기준으로도 식을 작성할 수 있다
차함수의 성질을 이용해 다음과 같은 방식으로 식 작성이 가능하다
f(x) = (교점들) + g(x)


이런 식으로 다항함수의 식을 작성하는 방법에 따라
계산량과 풀이시간이 달라지므로
처음부터 잘 작성하는 것이 중요하다
2. 비율관계 / 인수나누기
일반적으로 잘 알려진 3 4차함수의 비율관계는 다음과 같다

이 비율 관계를 이용하면 일명 '인수 나누기'를 통해
직선과 곡선의 교점 좌표를 빠르게 구할 수 있다
인수 나누기란 여러 함수의 공통된 인수 하나를 날려
비율관계를 활용해 모르는 교점의 좌표를 빠르게 구하는 테크닉이다
다음과 같은 상황을 보자

이 상황에서, h(x)와 f(x)가 접하는 점의 x좌표를 바로 구할 수 있다
공통된 인수가 x = 3 이므로
(x-3)을 날리면 세 함수의 관계는 다음과 같다

f(x)는 인수 하나를 날렸으므로 이차함수가 되고
g, h 는 상수가 된다
이차함수의 대칭성을 이용하면 f와 h가 접하는 지점의 x좌표는 9/2 이다
위 상황에 대한 대략적인 증명은 다음과 같다

인수 하나를 날린 후 함수들은
날린 인수를 제외한 다른 교점의 관계는 유지된다고 보면 된다
사실 위 상황은 인수나누기를 하기보단
3 x 변곡점 = 모든 교점들의 합 을 이용하면
3 + 3 + 6 = 3 + 2x
x = 9/2 를 통해 쉽게 구할 수 있는 상황이긴 하다
다만 3 x 변곡점은 삼차함수와 직선 사이의 관계에서만 사용 가능하지만
인수나누기는 대부분의 공통 인수를 가지는 곡선과 직선 사이에서 사용 가능하기 때문에
더 실용적이라고 볼 수 있다
다음 상황을 보자

사차함수와 직선 g h 가 교점을 가지는 상황이다
이 상황에서 사차함수와 h와의 교점의 x좌표를 바로 구할 수 있다
인수 x = 5를 날리면 다음과 같다

이제 삼차함수와 직선의 관계가 되었으므로
비율관계를 이용하면 교점을 바로 구할 수 있다

인수 나누기를 할 때 주의할 점은
곡선과 직선 사이의 관계에서 어떤 인수를 날렸고, 어떤 인수가 남아있는지를 확실하게 구분해야하는 점이다
3. 넓이/길이공식
생각보다 실전에서 사용되는 빈도는 적지만, 그래도 알아두면 유의미한 시간 단축이 되기 때문에
알아두는게 좋다
이차함수

삼차함수

사차함수

추가) 삼차함수의 영역별 넓이 비율 관계
이건 알아도 별로 도움 안된다
