2025. 7. 11. 03:46ㆍ수능수학/기출풀이

2025년 시행 7월 모의고사 미적분 30번 문항이다
역함수의 성질을 이용하여 문제를 해결할 수 있다
먼저 역함수의 성질을 알아보자
함수 f와 그 역함수를 서로 합성하면 본래의 입력값이 되돌아온다

즉, 역함수 식의 양변에 원함수를 적용하거나 원함수 식의 양변에 역함수를 적용하면 정의역의 값이 복원된다는 의미이다
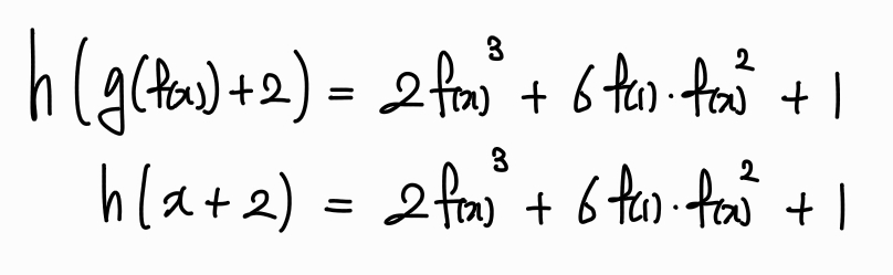
문제에선 f(x)의 역함수로 g(x)가 제시되었으므로
다음과 같이 표현될 수 있다

이제 이 방법을 h(x)에 적용해보자
주어진 h(g(x)+2) 식의 x 자리에 f(x)를 합성하면
다음과 같이 h(x+2)의 식을 얻을 수 있다

문제의 마지막 구해야 하는 값을 보면 h'(x)를 사용해야 하므로
h'(x)를 구해보자
다음과 같이 양변을 미분하고
x대신 x-2를 대입하면
h'(x)의 식을 f(x)에 대해 나타낼 수 있다

f(x)의 성질을 더 알아보기 위해 그래프를 살펴보자
N축을 이용하여 f(x)의 도함수, 즉 e^cosπx의 그래프를 그려보자
아래 그림과 같이 e^x 와 cosπx 로 함수를 분리하여 합성함수의 그래프를 그릴 수 있다

이 함수를 0부터 적분한 값이 f(x)가 되고
f(1) 은 0부터 1까지의 적분값을 의미한다

함수를 살펴보면 속함수가 cosπx이기에 2 간격으로 주기적으로 반복되고,
대칭인 함수임을 알 수 있다
따라서 각 정수 사이의 넓이는 모두 f(1)로 같게 된다

이를 바탕으로 f(x)의 그래프를 그려보면 정수 사이에서
x가 1 증가할 때 마다 y값은 f(1)만큼 증가하는 함수가 된다

위에서 h'(x) 식을 보면 f(x-2) 로 나타나 있음을 볼 수 있다
이를 f(x)로 표현하기 위해 다음과 같이 식을 변형해 보자

x가 정수값 일 땐 2간격의 적분값은 2f(1) 이므로
다음과 같이 나타낼 수 있다

또한 양변을 미분하면 다음과 같이 2간격의 f'(x) 값은 같음을 알 수 있다

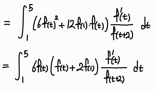
이제 마지막 주어진 적분식을 계산해 보자
아래와 같이 h'(x)를 f(x)에 대한 식으로 나타낼 수 있다

여기서 적분 범위를 조정하면 더 간단하게 계산이 가능하다
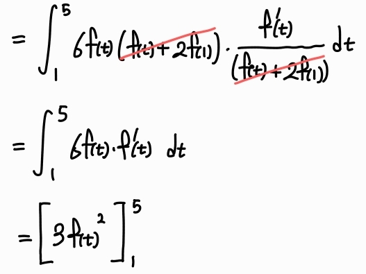
x-2 = t로 치환하면 적분 범위는 1 에서 5까지로 바뀌고
식을 간결하게 정리할 수 있다

적분 구간이 1부터 5까지 이므로
정수 구간에 해당된다
따라서 f(t+2) = f(t) + 2f(1) 으로 표현 가능하다

최종적으로 계산해야 할 값을 구해보자
위에서 그렸던 f(x) 그래프를 생각해 보면
f(5)에 해당하는 값은 5f(1)임을 알 수 있다

이를 바탕으로 계산해 보면 최종 적분값은 72f(1)^2 이고
문제에서 구해야 하는 k 값은 72임을 알 수 있다
답은 72 이다
'수능수학 > 기출풀이' 카테고리의 다른 글
| 260728 - 미적분 (0) | 2025.07.11 |
|---|---|
| 220930 - 고2 (0) | 2025.07.02 |
| 220722 - 공통 (1) | 2025.07.01 |
| 231122 - 공통 (0) | 2025.07.01 |
| 260628 - 미적분 (0) | 2025.06.09 |