2025. 7. 1. 00:50ㆍ수능수학/기출풀이

2023년도 수능 22번 문항이다
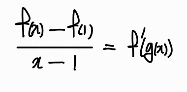
먼저 (가)조건을 다음과 같이 변형해주자

이 식의 의미는 다음과 같다
함수 f가 (1,f(1)) 과 특정 점(x,f(x)) 사이의 기울기를
미분계수로 가지는 지점의 x좌표를 g(x)로 나타낸 것이다
그림으로 이해하면 다음과 같다

(1,f(1))에서 (x,f(x)) 까지의 평균변화율과 같은 미분계수를 가지는 점,
즉 기울기를 가지는 점이 평균값 정리에 의해 존재할 것이다
그 점의 x좌표를 g(x)로 정의한 것이 위 식의 의미이다
(1,f(1))의 위치, (x,f(x))의 위치에 따라 g(x)의 후보는
위위 그림과 같이 여러 개가 존재할 수 있다
g(x)도 함수이므로 두개가 모두 존재할 수는 없고
조건에 맞는 점을 선택해야 한다
평균변화율과 함수 f가 접하는 특수한 상황을 생각해보자

여기서 접하는 x에서 앞뒤로 dx만큼 움직일 때를 보면
극대부분 g(x)와 극소부분 g(x)는 다르게 움직임을 알 수 있다

극대부분에서는 접할 때 g(x)가 극대값을 가지고 x가 증가할수록 다시 줄어드는 모습이 보이고
극소부분에서는 반대로 접할 때 g(x)가 극소점을 가지고 다시 늘어나는 모습이 보인다
x값이 증가할수록 g(x)의 변화는 다음과 같다
극대쪽 g(x)는 감소하고, 극소쪽 g(x)는 증가한다

이후에 평균변화율이 (1,f(1))에 접하고, 그 이후에도 같은 추세를 보인다

문제에서 g(x)는 연속이라고 나왔으므로
극대쪽과 극소쪽 g(x) 둘 중 하나를 골라야 한다
조건 (나)에서 함수 g(x)는 최솟값을 가진다고 했으므로
극대쪽 g(x)는 조건을 만족하지 못한다
따라서 조건에 맞는 g(x)는 극소쪽에 있는 g(x) 이다
g(x)는 평균변화율이 함수 f와 접할 때 극소값을 갖고
x가 증가할때, 감소할때 모두 g(x)는 증가하므로
최솟값은 접하는 지점의 x좌표이다

직선과 삼차함수의 모든 교점의 합은 3*변곡점 x좌표와 같으므로
1 + 5/2 + 5/2 = 3* 변곡점 x좌표
변곡점 x좌표 = 2 이다
(다)조건을 활용하기 위해 g(1)을 구해보자
x=1 일때 (1,f(1))에서 (x,f(x)) 까지의 평균변화율은 f'(1)과 같고
f'(1)과 같은 기울기를 가지는 지점은 변곡점에 대해 대칭이다
이를 이용해 다음과 같이 g(1)을 구하고
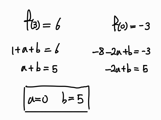
f(3) = 6 임을 알 수 있다

이제 마지막 계산을 해보자
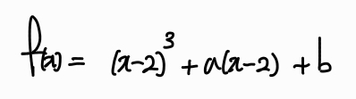
먼저 변곡점을 이용해 f(x)를 다음과 같이 나타낼 수 있다

이후에 f(0) = -3, f(3) = 6 을 이용해 a, b의 값을 구하면 된다

이를 통해 f(4)를 계산하면 13이 나온다
답은 13이다
'수능수학 > 기출풀이' 카테고리의 다른 글
| 220930 - 고2 (0) | 2025.07.02 |
|---|---|
| 220722 - 공통 (1) | 2025.07.01 |
| 260628 - 미적분 (0) | 2025.06.09 |
| 260621 - 공통 (0) | 2025.06.09 |
| 260622 - 공통 (0) | 2025.06.09 |